Cerney S.A.U.

Título de Vapor: ¿Qué es y cómo se calcula?

En cualquier sistema de calderas industriales de vapor, el título de vapor es uno de esos parámetros que rara vez aparecen en el cuadro sinóptico… pero que se nota de inmediato cuando está mal: pérdidas de rendimiento, golpes de ariete, erosión, paradas inesperadas y consumos de combustible que no cuadran con la producción real.

En nuestra experiencia, cuando hablamos con responsables de operación y mantenimiento, casi todos manejan bien conceptos como presión, temperatura o caudal. Sin embargo, el título de vapor sigue siendo un gran desconocido, a pesar de que es la forma más directa de medir la calidad real del vapor que llega al proceso.

¿Qué es el título de vapor?

El vapor de agua se obtiene al aportar calor al agua líquida hasta que hierve y cambia de fase. A partir de ahí podemos tener:

  • Vapor seco: prácticamente todo el agua está en fase gaseosa.
  • Vapor húmedo: coexisten vapor y gotitas de agua líquida (mezcla líquido–vapor).

El título de vapor (también llamado fracción seca o vapor quality) es precisamente la fracción en masa de vapor en esa mezcla líquido–vapor. Se suele representar con la letra x y se define como:

x = masa de vapor / (masa total de la mezcla)

  • x = 0 → todo es líquido saturado (no hay vapor).
  • x = 1 → todo es vapor saturado (no hay líquido).
  • Valores intermedios (0 < x < 1) → vapor húmedo.

Por ejemplo, un título x = 0,97 significa que el 97 % de la masa es vapor y el 3 % es agua líquida en suspensión. A efectos energéticos, ese 3 % de agua líquida es superficie fría que roba calor útil, genera arrastres y puede convertirse en problemas mecánicos en la instalación.

“En la práctica, hablar de título de vapor es hablar de cuánta agua líquida estás moviendo por unas líneas que deberían transportar sólo energía en forma de vapor.”

— Equipo técnico Cerney

Cuando vemos una “nube blanca” saliendo de una purga o descarga, eso es vapor húmedo condensando en el ambiente. El vapor seco es incoloro, de modo que lo que vemos casi siempre es el agua que se condensa, no el vapor en sí.

Calderas industriales a medida

Solicita información y presupuesto sin compromiso.

¿Cómo calcular el título de vapor?

A nivel teórico hay dos formas habituales de expresar la fórmula del título de vapor:

Fórmula básica en función de la masa

Es la definición más directa y la que se suele enseñar primero en termodinámica:

titulo vapor formula 1 Título de Vapor: ¿Qué es y cómo se calcula?

donde:

  • x = título de vapor (adimensional, entre 0 y 1)
  • mv = masa de vapor (kg)
  • ml = masa de líquido (kg)

Esta expresión es muy útil para problemas teóricos o para explicar el concepto, pero en planta industrial no solemos pesar por separado el vapor y el líquido. Lo que sí podemos medir con relativa facilidad son presión, temperatura y entalpía.

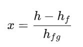
Título de vapor y termodinámica: fórmula con entalpía

En sistemas industriales es más práctico trabajar con la entalpía específica de la mezcla (h) y las tablas de vapor (IAPWS-IF97, ASME, etc.).

En ese caso, el título se calcula como:

titulo vapor formula entalpia Título de Vapor: ¿Qué es y cómo se calcula?

donde:

  • h = entalpía específica de la mezcla líquido–vapor (kJ/kg)
  • hf = entalpía del agua líquida saturada a esa presión (kJ/kg)
  • hfg = hg – hf = calor latente de vaporización (kJ/kg)
  • hg = entalpía del vapor saturado seco a esa presión (kJ/kg)

Los valores de hf, hg y hfg se obtienen de tablas de vapor fiables (por ejemplo, NIST, EngineeringToolBox o las tablas ASME basadas en IAPWS-IF97).

Ejemplo práctico de cálculo del título de vapor

Supongamos que tenemos una mezcla de agua y vapor a 1 bar absoluto y sabemos (por medición indirecta o cálculo de balance energético) que su entalpía es aproximadamente h = 2.400 kJ/kg.

De las tablas de vapor a 1 bar:

  • hf ≈ 417,5 kJ/kg (agua saturada a 100 °C)
  • hfg ≈ 2.257,9 kJ/kg (calor latente de vaporización)

Aplicamos la fórmula:

titulo vapor ejemplo practico Título de Vapor: ¿Qué es y cómo se calcula?

Es decir, el título de vapor es aproximadamente x ≈ 0,88 → un 88 % de vapor y un 12 % de agua líquida.

En calderas de proceso, lo habitual es trabajar con títulos superiores al 0,95–0,98, y en aplicaciones críticas (alimentario, farmacéutico, turbinas de vapor) se persigue estar lo más cerca posible de 1.

Calculadora online de título de vapor

Calculadora de título de vapor
(1–2 min)

Introduce tus datos de masa o entalpía y obtén el título de vapor (fracción seca) y la proporción de vapor/agua líquida.

Fórmula usada: x = mv / (mv + ml), donde mv es la masa de vapor y ml la masa de agua líquida.
Fórmula usada: x = (h − hf) / (hg − hf), con entalpías en kJ/kg tomadas de tablas de vapor a la misma presión.
Tip: puedes obtener hf y hg de tablas oficiales (ASME / IAPWS-IF97) a la presión de operación de tu caldera.
Cálculo orientativo basado en fórmulas simplificadas. Para diseño y validación final de sistemas de vapor se requiere ingeniería de detalle y contraste con tablas oficiales.

¿Cómo se mide el título de vapor en planta?

Además del cálculo con tablas, existen métodos prácticos basados en calorímetros de vapor (separador, estrangulador, combinado, etc.), que permiten determinar la fracción seca a partir de mediciones de presión y temperatura antes y después del equipo

A nivel operativo, esto se traduce en:

  • Tomar una muestra de la línea.
  • Eliminar parte del agua líquida (calorímetro separador).
  • Estrangular el vapor restante hasta alcanzar régimen de vapor sobrecalentado (calorímetro de estrangulamiento).
  • A partir de esos datos y las tablas, calcular x.

Este tipo de medición es especialmente interesante cuando se quiere validar el rendimiento real de la sala de calderas o justificar inversiones en mejoras de la calidad del vapor.

¿Por qué es importante en sistemas industriales?

Un título de vapor bajo no es únicamente “un número peor” en una hoja de cálculo; tiene consecuencias directas en la instalación:

  • Menos energía útil en el punto de uso: el líquido arrastrado absorbe parte del calor, de modo que para conseguir la misma temperatura en el proceso se necesita más caudal de vapor y, por tanto, más combustible.
  • Golpes de ariete y ruido: el agua líquida se acumula en puntos bajos y genera cambios bruscos de velocidad y presión.
  • Erosión y corrosión en tuberías, válvulas y equipos, especialmente en cambios de sección y en válvulas de control.
  • Inestabilidad en el control de temperatura: intercambiadores que no llegan a consigna, oscilaciones y problemas de calidad de producto.

“Un vapor con mal título es energía que has pagado y que nunca llega al proceso: se queda en las líneas en forma de condensado, ruido y desgaste mecánico.”

— Equipo técnico Cerney

En proyectos complejos (por ejemplo, ciclos combinados o plantas de cogeneración) un título inadecuado a la entrada de la turbina penaliza la eficiencia y acelera la erosión de los álabes, algo que los fabricantes limitan estrictamente en sus especificaciones.

Características del título de vapor bajo y alto

Aquí es donde el concepto se vuelve realmente útil para el diseño y la operación. A nivel práctico, podemos resumir las diferencias entre título de vapor bajo y alto en la siguiente tabla:

Criterio Título de vapor bajo Título de vapor alto
Contenido de agua Porcentaje elevado de agua líquida; el condensado se acumula en puntos bajos de la red. Agua sólo en forma de gotitas muy finas; la mayor parte de la masa es vapor.
Aspecto del flujo Nube visible, ruido, posibles golpes de ariete y vibraciones. Flujo más estable, casi invisible tras el aislamiento y los purgadores.
Transferencia de calor Menor rendimiento en intercambiadores, tiempos de calentamiento más largos. Máximo aprovechamiento del calor latente, control de temperatura más preciso.
Efecto sobre equipos y tuberías Mayor erosión, corrosión y desgaste de válvulas, trampas de condensado y accesorios. Menor desgaste mecánico y menos incidencias por agua libre.
Impacto energético Aumentan los consumos específicos de combustible para la misma producción útil. Mejor rendimiento global de la planta de vapor y menores costes operativos.
Aplicaciones típicas Situaciones no deseadas o de arranque; sólo se tolera en usos poco sensibles. Objetivo en procesos alimentarios, farmacéuticos, papel, textil y turbinas de vapor.

¿Qué importancia tiene en las aplicaciones industriales?

El título de vapor conecta directamente con la calidad del producto, la eficiencia energética y la vida útil de los equipos:

  • En intercambiadores de calor (camisas de reactor, hornos, túneles de secado), un título alto permite mantener temperaturas uniformes y reduce la formación de puntos fríos.
  • En procesos de limpieza y esterilización, como SIP/CIP o autoclaves, el vapor con alto título garantiza que las superficies alcancen la temperatura y el tiempo de exposición requeridos por norma.
  • En industrias como papelera, textil o madera, la humedad arrastrada por el vapor puede trasladarse al producto, afectando a la calidad y la repetitividad del proceso.
  • En turbinas de vapor (ciclos combinados, cogeneración), mantener un título elevado evita que el agua líquida impacte sobre los álabes, reduciendo la erosión y las paradas por vibraciones.

En resumen: un buen diseño de la generación, distribución y retorno de condensados debe estar pensado para que el título de vapor que llega al proceso sea coherente con las exigencias de cada aplicación.

Buenas prácticas para mejorar el título de vapor

En el día a día, lo que realmente marca la diferencia no es sólo el diseño de la caldera, sino cómo se gestiona el conjunto de la instalación:

  • Diseño de la cámara de vapor y separadores: una cámara generosa y bien diseñada ayuda a conseguir títulos próximos al 99 %, tal y como recomiendan los fabricantes de equipos de vapor de referencia.
  • Red de distribución correctamente dimensionada: pendientes adecuadas, colectores bien diseñados y purgadores en los puntos bajos reducen de forma drástica el arrastre de agua.
  • Purgadores seleccionados y mantenidos: purgadores bloqueados o fugando degradan el título de vapor y hacen que la instalación “trabaje contra sí misma”. Aquí encaja un buen plan de mantenimiento de las calderas y su circuito de condensados.
  • Control continuo de calidad del vapor: la sensorización de presión, temperatura y caudales, vinculada a modelos basados en tablas de vapor, permite estimar el título de forma continua y anticipar desviaciones.

“El título de vapor no mejora con un único equipo milagroso, sino alineando generación, distribución, purga de condensados y mantenimiento.”

— Equipo técnico Cerney

Desde la experiencia de proyectos reales, un salto de unos pocos puntos en el título de vapor suele traducirse en ahorros energéticos medibles y en una operación más estable, especialmente en procesos sensibles al control de temperatura.

En este contexto, en Cerney no es sólo suministramos la caldera, sino que acompañamos al cliente en el diseño global de la instalación para que el vapor llegue al proceso con la calidad adecuada.

Equipo técnico CERNEY
Calderas industriales Equipos a presión +25 países
CERNEY - Calderas industriales

Este contenido ha sido elaborado por el equipo técnico de CERNEY, con experiencia en proyectos de calderas industriales y equipos a presión en más de 25 países, respaldados por certificaciones como ISO 9001, ISO 14001, ISO 45001, EN ISO 3834-2 y los sellos ASME «S» y «U».

Puedes ampliar información sobre nuestra trayectoria y capacidad técnica en la página de empresa y en el apartado de certificaciones .